w88优德 陆振烟团队在《European Physical Journal C》连续发表轴子物理新成果
时间:2025-12-18 来源:湖南科技大学w88优德 作者:图/文:王舒鹏 访问量:
w88优德
近日,物理学领域权威期刊《欧洲物理杂志C》(European Physical Journal C,自然指数期刊、中科院二区) 在线发表了w88优德 w88优德 陆振烟课题组的最新研究成果“QCD axions and domain walls in hot and dense matter of compact stars” (Eur. Phys. J. C 85 (2025) 1371)。论文第一作者为陆振烟副教授,第二作者是w88优德 硕士研究生王舒鹏,湖南科技大学为第一署名单位。论文其他合作者包括北京航空航天大学博士生卢琪(w88优德 本科毕业)、内蒙古师范大学青年教师张博楠博士,以及意大利卡塔尼亚大学Marco Ruggieri教授。该成果的发表标志着团队在轴子相关理论研究方向上又一次取得重要进展。

▲2025年11月EPJC论文w88优德

▲2025年2月EPJC论文w88优德
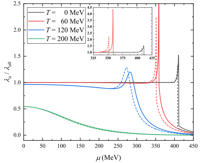
QCD轴子不仅是解决强CP问题的关键机制,也是宇宙暗物质的重要候选者。致密星(如中子星)内部具有极高的密度,是检验轴子性质及其与强相互作用物质耦合的理想“宇宙实验室”。然而,极端温度和密度如何影响轴子的性质,是当前核天体物理与粒子物理交叉领域的前沿热点问题。在这项最新研究中,陆振烟副教授团队基于引入轴子场的NJL模型,严格考虑电中性和化学平衡条件,以模拟真实的致密星体环境。团队系统研究了有限温度和化学势对QCD拓扑磁化率及轴子性质的影响,成功揭示手征相变临界行为对轴子特性的显著修正作用。研究发现,在手征相变临界点附近,轴子的自耦合常数会显著增强;尤其当温度约为 70 MeV、化学势约为 346 MeV 时,其数值可达真空值的七倍以上。据我们所知,这一特性在以往研究中尚未被报道。研究还表明,高温高密环境会显著降低轴子畴壁的张力,从而可能导致轴子畴壁在致密星内部的不稳定性。这些结果意味着,轴子介导的相互作用在致密星体的冷却、演化及结构稳定性中可能扮演比预期更重要的角色,为寻找轴子天体物理信号提供了新的理论线索。
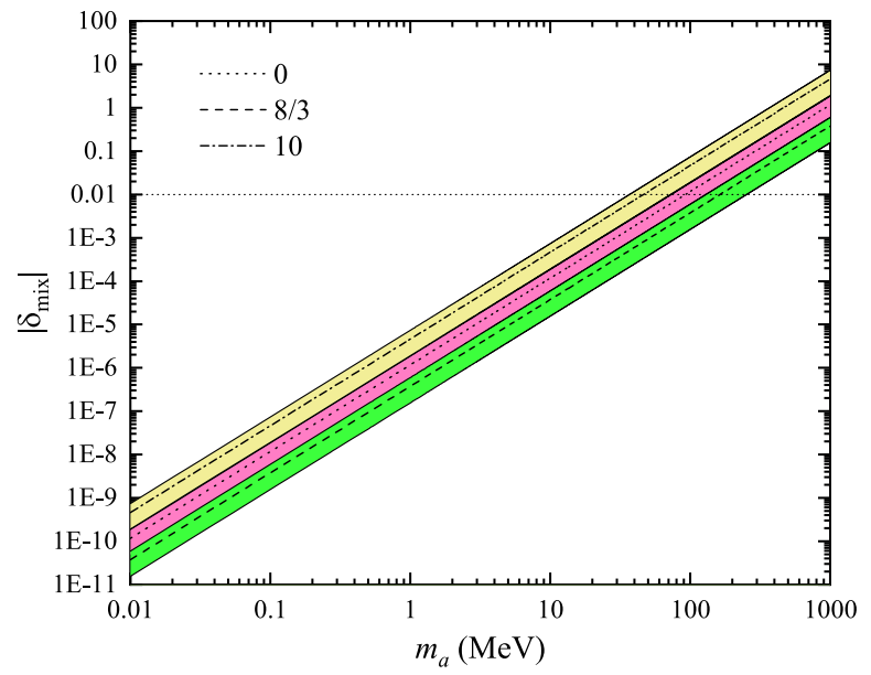
此外,今年2月份,陆振烟副教授团队还在同刊发表了另一项研究成果“New axion contribution to the two-photon decays of neutral pions” (Eur. Phys. J. C 85 (2025) 207),论文的第一作者为陆振烟副教授,湖南科技大学为第一署名单位。其他合作者包括w88优德 教师黄阳、程吉贵,北京航空航天大学博士生卢琪,以及w88优德 硕士研究生王舒鹏。该研究在SU(2)手征微扰理论框架下,首次计算了轴子-Pion介子混合对中性Pion介子双光子衰变宽度的单圈修正。研究指出,对于MeV量级的重轴子,该修正不可忽略,结合最新的实验数据,该结果对标准QCD轴子模型参数空间提出了更严格的理论约束。

▲致密星体环境下的轴子自耦合常数的增强效应

▲轴子-Pion介子混合对衰变宽度的修正随轴子质量的变化关系
本研究得到国家自然科学基金、湖南省自然科学基金以及湖南省教育厅科学研究项目的资助。
论文链接:
[1] //doi.org/10.1140/epjc/s10052-025-15107-8
[2] //doi.org/10.1140/epjc/s10052-025-13906-7
(一审:贺祖龙 二审:许英 三审:易贵元)
